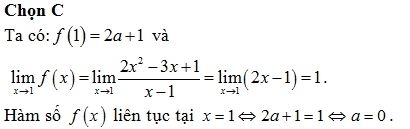
Cho hàm số . Tìm giá trị của tham số a để hàm số liên tục tại .
A.
B.
C.
D.
Quảng cáo
1 câu trả lời 3462
Quảng cáo
Bạn muốn hỏi bài tập?
Câu hỏi hot cùng chủ đề
Gửi báo cáo thành công!
Cho hàm số . Tìm giá trị của tham số a để hàm số liên tục tại .
A.
B.
C.
D.
Quảng cáo
Quảng cáo
Bạn muốn hỏi bài tập?