Quảng cáo
2 câu trả lời 2231
Chọn C
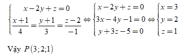
Tọa độ giao điểm của (P) và d là nghiệm của hệ phương trình:

Quảng cáo
Bạn cần hỏi gì?
Câu hỏi hot cùng chủ đề
-
Hỏi từ APP VIETJACK
Đã trả lời bởi chuyên gia
129637 -
Đã trả lời bởi chuyên gia
104061 -
Đã trả lời bởi chuyên gia
94054 -
Đã trả lời bởi chuyên gia
69272
Gửi báo cáo thành công!

