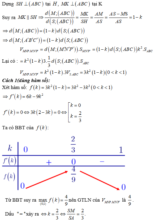
Cho hình chóp S.ABC có thể tích bằng 1 Mặt phẳng (Q) thay đổi song song với mặt phẳng (ABC) lần lượt cắt các cạnh SA,SB,SC tại M,N,P Qua M,N,P kẻ các đường thẳng song song với nhau lần lượt cắt mặt phẳng (ABC) tại Tính giá trị lớn nhất của thể tích khối lăng trụ

Quảng cáo
1 câu trả lời 6096
Quảng cáo
Bạn cần hỏi gì?
Câu hỏi hot cùng chủ đề
-
Hỏi từ APP VIETJACK
Đã trả lời bởi chuyên gia
130063 -
Đã trả lời bởi chuyên gia
104593 -
Đã trả lời bởi chuyên gia
94505 -
Đã trả lời bởi chuyên gia
71560
Gửi báo cáo thành công!




