Cho tứ diện đều ABCD có cạnh bằng 1. Gọi M,N là hai điểm thay đổi lần lượt trên cạnh BC,BD sao cho mặt phẳng (AMN) luôn vuông góc với mặt phẳng (BCD).Gọi lần lượt là giá trị lớn nhất và nhỏ nhất của thể tích khối tứ diện ABMN.Tính ?
Quảng cáo
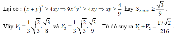
1 câu trả lời 699
Quảng cáo
Bạn cần hỏi gì?
Câu hỏi hot cùng chủ đề
-
Hỏi từ APP VIETJACK
Đã trả lời bởi chuyên gia
129637 -
Đã trả lời bởi chuyên gia
104061 -
Đã trả lời bởi chuyên gia
94054 -
Đã trả lời bởi chuyên gia
69272
Gửi báo cáo thành công!




