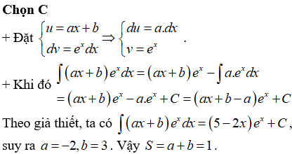
Biết ∫ax+bexdx=5-2xex+C, với a,b là các số thực. Tìm S=a+b
A. S=5B. S=4C. S=1D. S=9
Quảng cáo
Bạn muốn hỏi bài tập?
Cách chuyển từ sin sang cos ạ ?
Cho hàm số y=f(x), bảng xét dấu của f'(x) như sau:
Hàm số y=f(5-2x) nghịch biến trên khoảng nào dưới đây?
A. (2; 3)
B. (0; 2)
C. (3; 5)
D. (5; +∞)
Cho hàm số y=ax3+bx2+cx+d có đồ thị như hình vẽ. Tìm mệnh đề đúng
A. a<0, b>0, c>0, d<0
B. a<0, b<0, c>0, d<0
C. a>0, b>0, c>0, d<0
D. a<0, b>0, c<0, d<0
Hàm số y=2x+3x+1 có bao nhiêu điểm cực trị ?
A. 3
B. 0
C. 1
D. 2
Tìm tập xác định D của hàm số y = (x-1)13
A. D = (-∞; 1)
B. D = (1; +∞)
C. D =R
D. D = R \ {1}
Tập xác định của hàm số y = log2 (x+1) là
A. D = (0;+∞)
B. D = (-1;+∞)
C. D = [-1;+∞)
D. D = [0;+∞)
Cho hàm số y=2x2+1. Mệnh đề nào sau đây đúng?
A. Hàm số nghịch biến trên khoảng (-1;1)
B. Hàm số đồng biến trên khoảng 0;+∞
C. Hàm số đồng biến trên khoảng −∞;0
D. Hàm số nghịch biến trên khoảng 0;+∞
Trong không gian với hệ tọa độ Oxyz, trục Oycó phương trình là
Hàm số y=2x−x2 nghịch biến trên khoảng:
A.0 ;1
B.0 ;2.
C.1 ;2.
D.1 ;+∞.