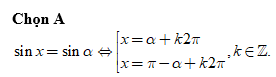
Công thức nào dưới đây là công thức nghiệm của phương trình ?
A.
B.
C.
D.
Quảng cáo
2 câu trả lời 18104
Quảng cáo
Bạn muốn hỏi bài tập?
Câu hỏi hot cùng chủ đề
Gửi báo cáo thành công!
Công thức nào dưới đây là công thức nghiệm của phương trình ?
A.
B.
C.
D.
Quảng cáo
Quảng cáo
Bạn muốn hỏi bài tập?