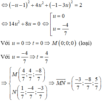
Trong không gian Oxyz, cho hai đường thẳng và mặt phẳng
. Biết rằng đường thẳng song song với mặt phẳng (P) và cắt các đường
thẳng lần lượt tại M và N sao cho ( điểm M không trùng với gốc tọa độ O).
Phương trình của đường thẳng là
A.
B.
C.
D.
Quảng cáo
2 câu trả lời 7385
Quảng cáo
Bạn cần hỏi gì?
Câu hỏi hot cùng chủ đề
-
Hỏi từ APP VIETJACK
Đã trả lời bởi chuyên gia
129637 -
Đã trả lời bởi chuyên gia
104061 -
Đã trả lời bởi chuyên gia
94054 -
Đã trả lời bởi chuyên gia
69272
Gửi báo cáo thành công!




