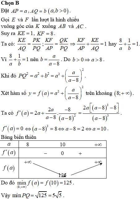
Một cái hồ rộng có hình chữ nhật. Tại một góc nhỏ của hồ người ta đóng một cái cọc ở vị trí K cách bờ AB là 1 m và cách bờ AC là 8 m, rồi dùng một cây sào ngăn một góc nhỏ của hồ để thả bèo (như hình vẽ). Tính chiều dài ngắn nhất của cây sào để cây sào có thể chạm vào 2 bờ AB,AC và cây cọc K (bỏ qua đường kính của sào).

Quảng cáo
2 câu trả lời 33978
Quảng cáo
Bạn cần hỏi gì?
Câu hỏi hot cùng chủ đề
-
Hỏi từ APP VIETJACK
Đã trả lời bởi chuyên gia
129984 -
Đã trả lời bởi chuyên gia
104509 -
Đã trả lời bởi chuyên gia
94414 -
Đã trả lời bởi chuyên gia
71189
Gửi báo cáo thành công!



