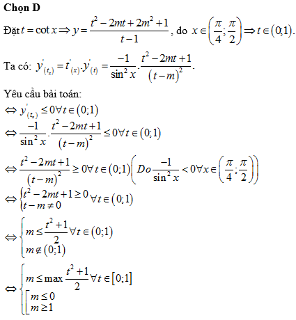
Có bao nhiêu giá trị nguyên của m thuộc đoạn để hàm số: nghịch biến trên
A. 2020.
B. 2019.
C. 2022.
D. 2021.
Quảng cáo
1 câu trả lời 4329
Quảng cáo
Bạn muốn hỏi bài tập?
Câu hỏi hot cùng chủ đề
Gửi báo cáo thành công!
Có bao nhiêu giá trị nguyên của m thuộc đoạn để hàm số: nghịch biến trên
A. 2020.
B. 2019.
C. 2022.
D. 2021.
Quảng cáo
Quảng cáo
Bạn muốn hỏi bài tập?