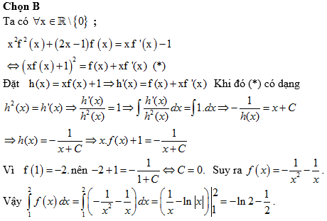
Cho hàm số xác định và liên tục trên thỏa mãn: với đồng thời Tính
A.
B.
C.
D.
Quảng cáo
1 câu trả lời 27364

Quảng cáo
Bạn cần hỏi gì?
Câu hỏi hot cùng chủ đề
-
Hỏi từ APP VIETJACK
Đã trả lời bởi chuyên gia
130101 -
Đã trả lời bởi chuyên gia
104648 -
Đã trả lời bởi chuyên gia
94548 -
Đã trả lời bởi chuyên gia
71761
Gửi báo cáo thành công!

