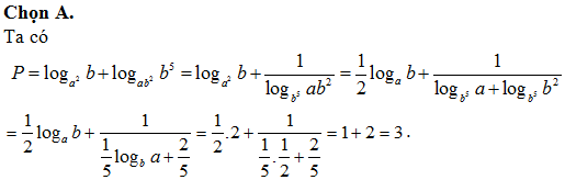
Cho a,b là các số thực dương lớn hơn 1 thỏa mãn . Tính giá trị biểu thức
A. P=3
B. P=4
C. P=2
D. P=5
Quảng cáo
1 câu trả lời 4397
Quảng cáo
Bạn cần hỏi gì?
Câu hỏi hot cùng chủ đề
-
Hỏi từ APP VIETJACK
Đã trả lời bởi chuyên gia
129637 -
Đã trả lời bởi chuyên gia
104061 -
Đã trả lời bởi chuyên gia
94054 -
Đã trả lời bởi chuyên gia
69272
Gửi báo cáo thành công!


