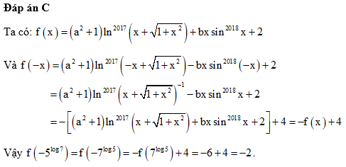
Cho hàm số với a, b là các số thực và . Tính .
Quảng cáo
2 câu trả lời 599
Quảng cáo
Bạn muốn hỏi bài tập?
Câu hỏi hot cùng chủ đề
Gửi báo cáo thành công!
Cho hàm số với a, b là các số thực và . Tính .
Quảng cáo
Quảng cáo
Bạn muốn hỏi bài tập?