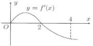
Cho hàm số có đồ thị của hàm số như hình vẽ. Biết . Giá trị nhỏ nhất m, giá trị lớn nhất M của hàm số trên đoạn [0;4] là

A.
B.
C.
D.
Quảng cáo
1 câu trả lời 8768
Quảng cáo
Bạn muốn hỏi bài tập?
Câu hỏi hot cùng chủ đề
Gửi báo cáo thành công!


