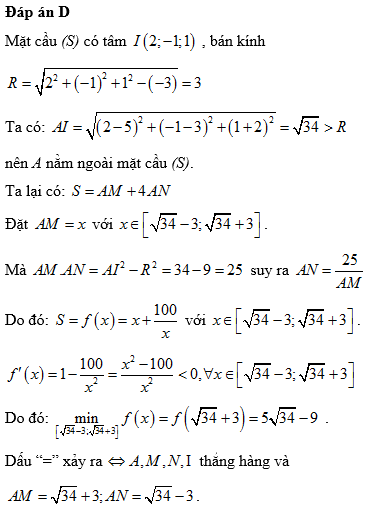
Trong không gian Oxyz cho mặt cầu (S) có phương trình và điểm . Một đường thẳng d thay đổi luôn đi qua A và luôn cắt mặt cầu tại hai điểm phân biệt M, N. Tính giá trị nhỏ nhất của biểu thức .
A.
B.
C.
D.
Quảng cáo
1 câu trả lời 6777
Quảng cáo
Bạn muốn hỏi bài tập?
Câu hỏi hot cùng chủ đề
Gửi báo cáo thành công!



