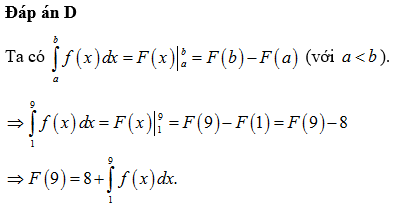
Cho hàm số liên tục trên R và có một nguyên hàm là
. Biết , giá trị được tính bằng công thức.
A.
B.
C.
D.
Quảng cáo
1 câu trả lời 6772
Quảng cáo
Bạn cần hỏi gì?
Câu hỏi hot cùng chủ đề
-
Hỏi từ APP VIETJACK
Đã trả lời bởi chuyên gia
129637 -
Đã trả lời bởi chuyên gia
104061 -
Đã trả lời bởi chuyên gia
94054 -
Đã trả lời bởi chuyên gia
69272
Gửi báo cáo thành công!


