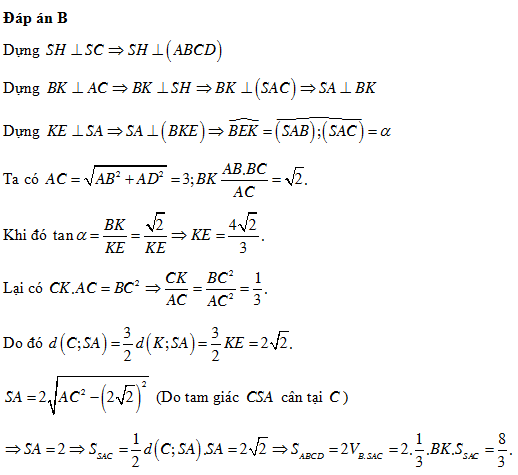
Cho hình chóp có đáy ABCD là hình chữ nhật với tam giác SAC nhọn và nằm trong mặt phẳng vuông góc với đáy. Biết hai mặt phẳng tạo với nhau góc thỏa mãn và Thể tích khối bằng
A.
B.
C.
D. 0
Quảng cáo
1 câu trả lời 4128
Quảng cáo
Bạn cần hỏi gì?
Câu hỏi hot cùng chủ đề
-
Hỏi từ APP VIETJACK
Đã trả lời bởi chuyên gia
129637 -
Đã trả lời bởi chuyên gia
104061 -
Đã trả lời bởi chuyên gia
94054 -
Đã trả lời bởi chuyên gia
69272
Gửi báo cáo thành công!



