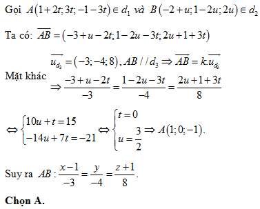
Trong không gian với hệ tọa độ Oxyz, cho ba đường thẳng Đường thẳng song song với d3 cắt d1 và d2 có phương trình là
A.
B.
C.
D.
Quảng cáo
1 câu trả lời 9413
Quảng cáo
Bạn cần hỏi gì?
Câu hỏi hot cùng chủ đề
-
Hỏi từ APP VIETJACK
Đã trả lời bởi chuyên gia
129637 -
Đã trả lời bởi chuyên gia
104061 -
Đã trả lời bởi chuyên gia
94054 -
Đã trả lời bởi chuyên gia
69272
Gửi báo cáo thành công!


