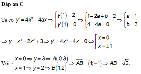
Biết rằng đồ thị hàm số có một điểm cực trị là (1;2). Khi đó khoảng cách giữa điểm cực đại và điểm cực tiểu của đồ thị hàm số đã cho bằng
A. 2.
B.
C.
D.
Quảng cáo
1 câu trả lời 7131
Quảng cáo
Bạn muốn hỏi bài tập?
Câu hỏi hot cùng chủ đề
Gửi báo cáo thành công!


