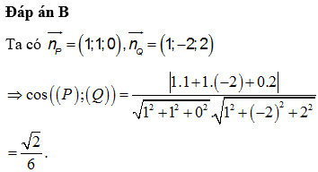
Trong không gian Oxyz cho hai mặt phẳng và Cosin góc giữa hai mặt phẳng (P) và (Q) là
A.
B.
C.
D.
Quảng cáo
1 câu trả lời 1352
Quảng cáo
Bạn cần hỏi gì?
Câu hỏi hot cùng chủ đề
-
Hỏi từ APP VIETJACK
Đã trả lời bởi chuyên gia
129652 -
Đã trả lời bởi chuyên gia
104087 -
Đã trả lời bởi chuyên gia
94063 -
Đã trả lời bởi chuyên gia
69340
Gửi báo cáo thành công!


