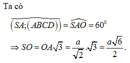
Cho hình chóp tứ giác đều S.ABCD có cạnh đáy bằng a. Góc giữa cạnh bên và mặt phẳng đáy bằng Tính khoảng cách từ đỉnh S đến mặt phẳng (ABCD)
A.
B.
C.
D.
Quảng cáo
1 câu trả lời 4336
Quảng cáo
Bạn cần hỏi gì?
Câu hỏi hot cùng chủ đề
-
Hỏi từ APP VIETJACK
Đã trả lời bởi chuyên gia
129637 -
Đã trả lời bởi chuyên gia
104061 -
Đã trả lời bởi chuyên gia
94054 -
Đã trả lời bởi chuyên gia
69272
Gửi báo cáo thành công!



