Quảng cáo
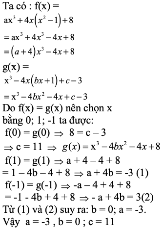
1 câu trả lời 9244
Quảng cáo
Bạn muốn hỏi bài tập?
Câu hỏi hot cùng chủ đề
-
Hỏi từ APP VIETJACK120761
-
81498
-
59515
Gửi báo cáo thành công!
Quảng cáo
Quảng cáo
Bạn muốn hỏi bài tập?