Quảng cáo
1 câu trả lời 8236

Shinbi
· 3 năm trước
Thực hiện phép tính :2^12.9^4/3^6.8^5
Bắc Vũ Thị
· 1 năm trước
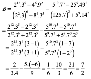
B = 2 12 . 3 5 − 4 6 . 9 2 ( ) 2 2 . 3 6 + 8 4 . 3 5 + 5 10 . 7 3 − 25 5 . 49 2 ( ) 125 . 7 3 + 5 9 . 14 3
Bắc Vũ Thị
· 1 năm trước
https://hoidapvietjack.com/storage/upload/images/media/604ce8b28d552.png
Quảng cáo
Bạn muốn hỏi bài tập?
Câu hỏi hot cùng chủ đề
-
Hỏi từ APP VIETJACK120761
-
81498
-
59515
Gửi báo cáo thành công!
