Quảng cáo
2 câu trả lời 4939


Nguyễn Văn Hải
· 4 năm trước
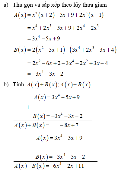
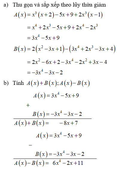
Tại sao ở chỗ thu gọc B(x) ở trên là 2x^3 xuống là 2x^3
Quảng cáo
Bạn muốn hỏi bài tập?
Câu hỏi hot cùng chủ đề
-
Hỏi từ APP VIETJACK120761
-
81498
-
59515
Gửi báo cáo thành công!

