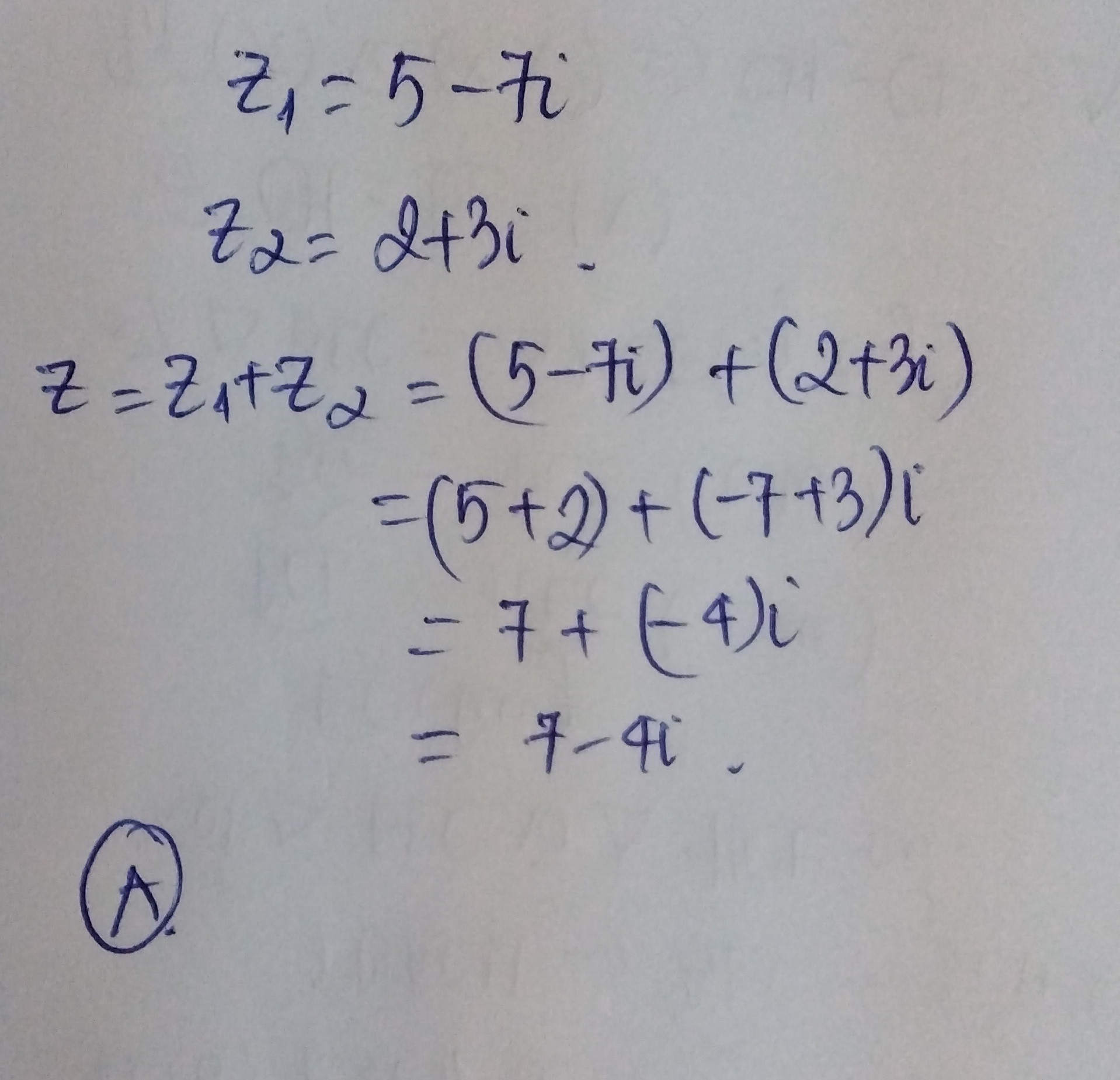
Cho hai số phức z1= 5-7i và z2= 2+3i.tìm số phức z=z1+z2
A.z=7-4i
B.z= 2+5i
C.z= -2+5i
D.z= 3-10i
Quảng cáo
1 câu trả lời 501
Quảng cáo
Bạn muốn hỏi bài tập?
Câu hỏi hot cùng chủ đề
Gửi báo cáo thành công!


