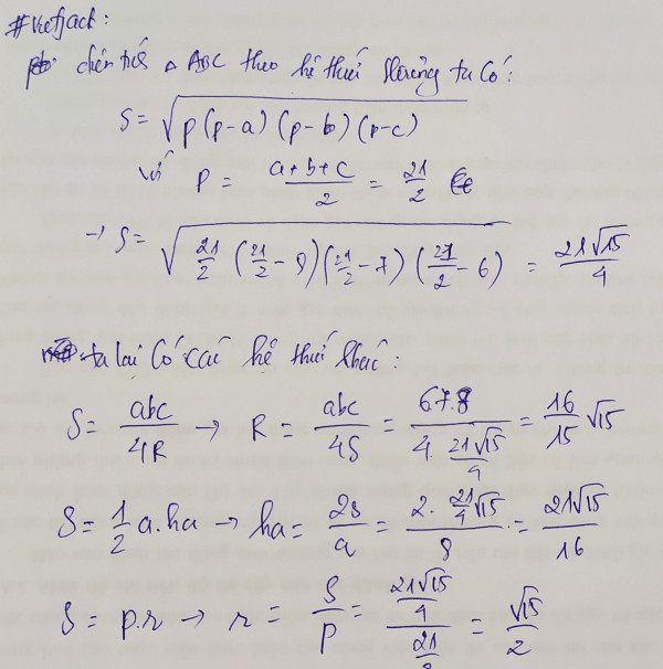
Cho tam giác ABC có ba cạnh AB=7,BC=8,AC=6.
Tính S,AH,R,r
Quảng cáo
1 câu trả lời 616
Quảng cáo
Bạn cần hỏi gì?
Câu hỏi hot cùng chủ đề
-
Đã trả lời bởi chuyên gia
90259 -
Đã trả lời bởi chuyên gia
60304 -
Hỏi từ APP VIETJACK
Đã trả lời bởi chuyên gia
59626 -
Đã trả lời bởi chuyên gia
51237 -
Hỏi từ APP VIETJACK
Đã trả lời bởi chuyên gia
48748 -
Đã trả lời bởi chuyên gia
39043
Gửi báo cáo thành công!

