Quảng cáo
1 câu trả lời 2120
Quảng cáo
Bạn muốn hỏi bài tập?
Câu hỏi hot cùng chủ đề
-
Hỏi từ APP VIETJACK
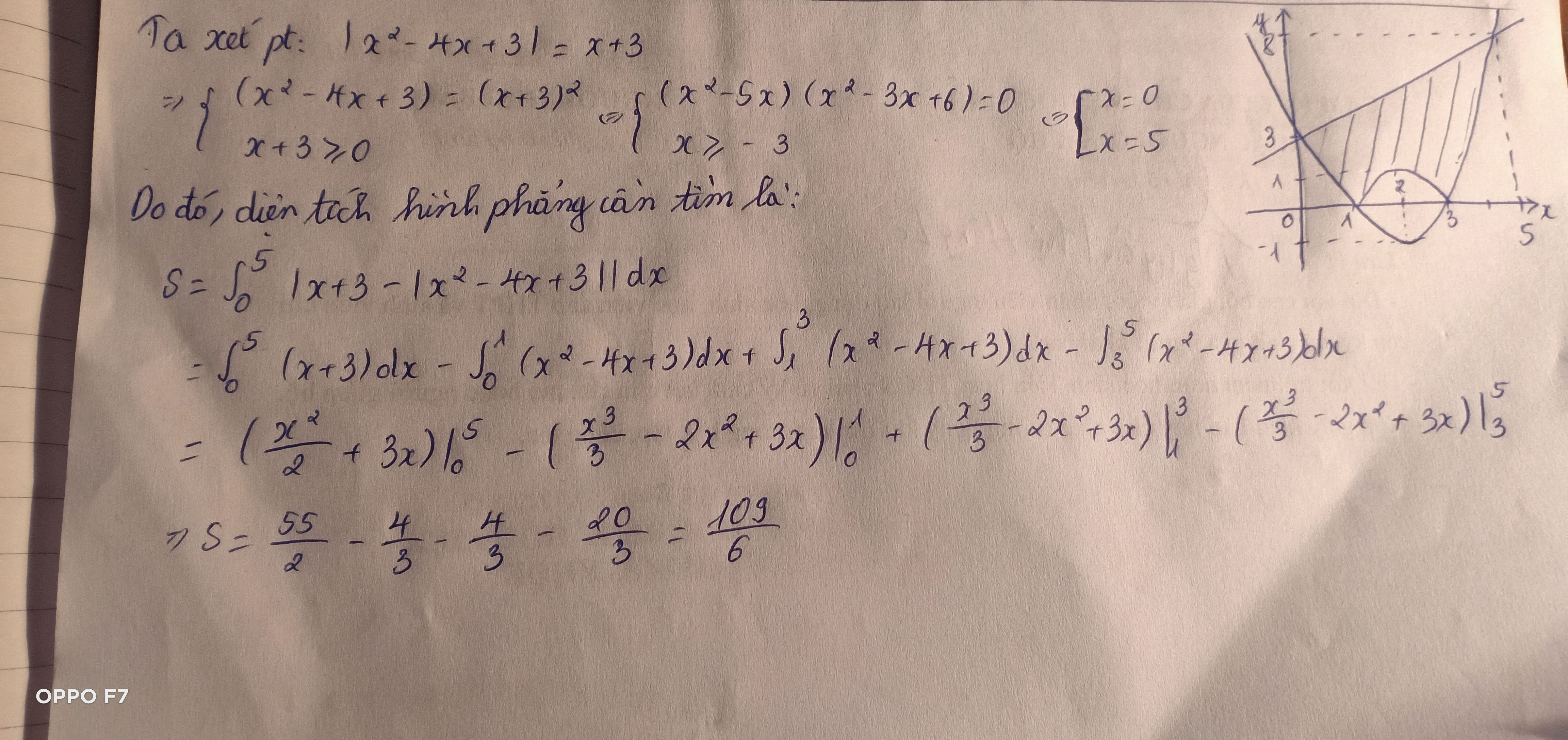
Đã trả lời bởi chuyên gia
129637 -
Đã trả lời bởi chuyên gia
104061 -
Đã trả lời bởi chuyên gia
94054 -
Đã trả lời bởi chuyên gia
69272
Gửi báo cáo thành công!


