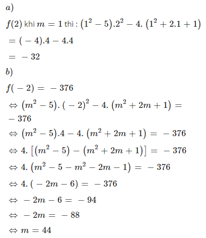
Cho hàm số .
a) Tìm f(2) khi m=1
b) Tìm m nếu f(-2)=-376
Quảng cáo
1 câu trả lời 1540
Quảng cáo
Bạn muốn hỏi bài tập?
Câu hỏi hot cùng chủ đề
-
Hỏi từ APP VIETJACK120761
-
81498
-
59515
Gửi báo cáo thành công!

