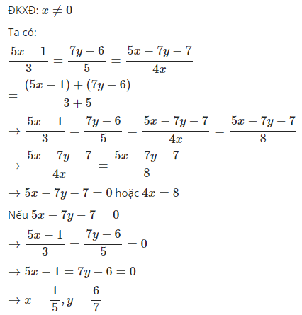
Tìm x,y biết:
Quảng cáo
1 câu trả lời 4898
Quảng cáo
Bạn cần hỏi gì?
Câu hỏi hot cùng chủ đề
-
Hỏi từ APP VIETJACK121162
-
Đã trả lời bởi chuyên gia
81971 -
Đã trả lời bởi chuyên gia
59862 -
Đã trả lời bởi chuyên gia
39757
Gửi báo cáo thành công!


