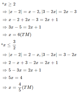
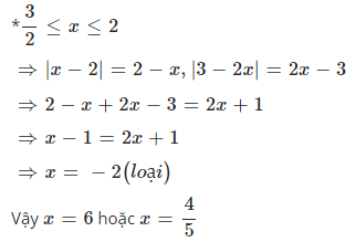
Tìm x, biết:
Quảng cáo
1 câu trả lời 7551


Jung Hoseok
· 4 năm trước
Tại sao lại ra x> hoặc =2 vậy ạ
Park Chaeyoung
· 2 năm trước
tại sao lại loại -2 ạ
Park Chaeyoung
· 2 năm trước
dựa vào bảng xét dấu í
Đinh Nguyệt
· 1 năm trước
tm là chi rx
Quảng cáo
Bạn cần hỏi gì?
Câu hỏi hot cùng chủ đề
-
Hỏi từ APP VIETJACK125099
-
Đã trả lời bởi chuyên gia
83784 -
Đã trả lời bởi chuyên gia
63626 -
Đã trả lời bởi chuyên gia
40575 -
Đã trả lời bởi chuyên gia
37470
Gửi báo cáo thành công!
