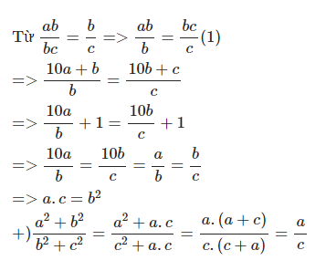
Cho tỉ lệ thức (ab, bc là số có 2 chữ số, c khác 0). Chứng minh
Quảng cáo
1 câu trả lời 3775
Quảng cáo
Bạn muốn hỏi bài tập?
Câu hỏi hot cùng chủ đề
-
Hỏi từ APP VIETJACK120578
-
81263
-
59365
Gửi báo cáo thành công!

