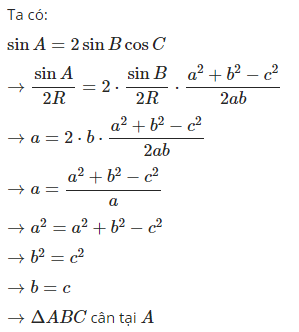
Cho tam giác ABC thỏa mãn: sinA = 2.sinB.sinC. Chứng minh tam giác ABC cân.
Quảng cáo
1 câu trả lời 30615
Quảng cáo
Bạn cần hỏi gì?
Câu hỏi hot cùng chủ đề
-
Đã trả lời bởi chuyên gia
89101 -
Đã trả lời bởi chuyên gia
59778 -
Hỏi từ APP VIETJACK
Đã trả lời bởi chuyên gia
58982 -
Đã trả lời bởi chuyên gia
50860 -
Hỏi từ APP VIETJACK
Đã trả lời bởi chuyên gia
48304 -
Đã trả lời bởi chuyên gia
38597
Gửi báo cáo thành công!

