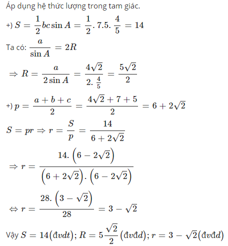
Cho tam giác ABC biết b=7, c=5, cosA= . Tính S,R,r.
Quảng cáo
1 câu trả lời 7164
Quảng cáo
Bạn cần hỏi gì?
Câu hỏi hot cùng chủ đề
-
Đã trả lời bởi chuyên gia
90154 -
Đã trả lời bởi chuyên gia
60253 -
Hỏi từ APP VIETJACK
Đã trả lời bởi chuyên gia
59576 -
Đã trả lời bởi chuyên gia
51190 -
Hỏi từ APP VIETJACK
Đã trả lời bởi chuyên gia
48699 -
Đã trả lời bởi chuyên gia
38997
Gửi báo cáo thành công!


