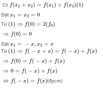
Cho hàm số y=f(x). Hàm số f(x) có tính chất với mọi ∈ Q. Chứng minh: f(-x) = -f(x) với mọi x ∈ Q
Quảng cáo
1 câu trả lời 1061
Quảng cáo
Bạn muốn hỏi bài tập?
Câu hỏi hot cùng chủ đề
-
Hỏi từ APP VIETJACK120761
-
81498
-
59515
Gửi báo cáo thành công!

