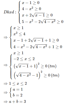
Tập xác định của hàm số có dạng [a,b]. Tìm a+b.
Thiên Đạt Trần
· 10 tháng trước
Hãy gợi ý cho tôi
Quảng cáo
1 câu trả lời 5499
Quảng cáo
Bạn muốn hỏi bài tập?
Câu hỏi hot cùng chủ đề
Gửi báo cáo thành công!

