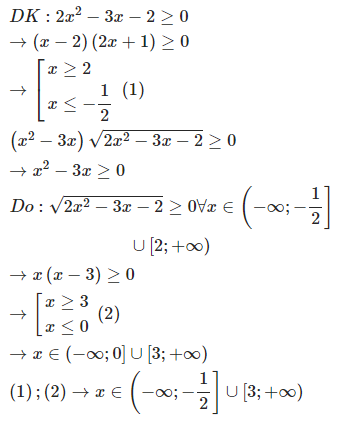
Tìm tập nghiệm của bất phương trình
Quảng cáo
1 câu trả lời 2727
Quảng cáo
Bạn muốn hỏi bài tập?
Câu hỏi hot cùng chủ đề
Gửi báo cáo thành công!
Tìm tập nghiệm của bất phương trình
Quảng cáo
Quảng cáo
Bạn muốn hỏi bài tập?