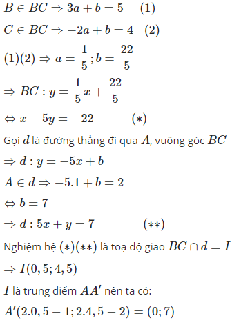
Cho tam giác ABC có A(1,2), B(3,5), C(-2,4). Tìm toạ độ điểm A' đối xứng với điểm A qua BC.
Quảng cáo
1 câu trả lời 8896
4 năm trước

Lan hương Pham
· 2 năm trước
cho t hỏi tại sao chỗ d lại ra đường phương trình y=-5x+b vậy?
Quảng cáo
Bạn muốn hỏi bài tập?
Câu hỏi hot cùng chủ đề
Gửi báo cáo thành công!
