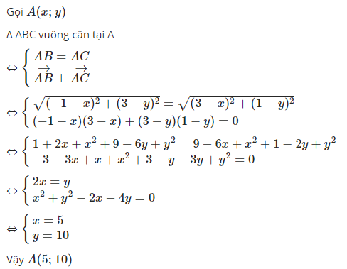
Trên hệ trục tọa độ Oxy cho các điểm B(-1;3) C(3;1) là hai đỉnh của 1 tam giác ABC vuông cân tại A . Tìm tọa độ đỉnh A.
Quảng cáo
1 câu trả lời 10548
Quảng cáo
Bạn muốn hỏi bài tập?
Câu hỏi hot cùng chủ đề
Gửi báo cáo thành công!
Trên hệ trục tọa độ Oxy cho các điểm B(-1;3) C(3;1) là hai đỉnh của 1 tam giác ABC vuông cân tại A . Tìm tọa độ đỉnh A.
Quảng cáo
Quảng cáo
Bạn muốn hỏi bài tập?