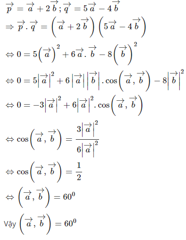
Độ dài các vecto a và b bằng nhau. Tìm biết
Quảng cáo
1 câu trả lời 18854
Quảng cáo
Bạn cần hỏi gì?
Câu hỏi hot cùng chủ đề
-
Đã trả lời bởi chuyên gia
90438 -
Đã trả lời bởi chuyên gia
60417 -
Hỏi từ APP VIETJACK
Đã trả lời bởi chuyên gia
59739 -
Đã trả lời bởi chuyên gia
51326 -
Hỏi từ APP VIETJACK
Đã trả lời bởi chuyên gia
48848 -
Đã trả lời bởi chuyên gia
39169
Gửi báo cáo thành công!

