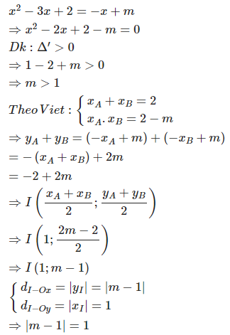
Cho hàm số y = và hàm số y=-x+m. Tìm M để đồ thị các hàm số đó cắt nhau tại 2 điiểm phân biệt A,B đồng thời khoảng cách từ trung điểm I của đoạn AB đến các trục tọa độ bằng nhau.
Quảng cáo
1 câu trả lời 3741
Quảng cáo
Bạn muốn hỏi bài tập?
Câu hỏi hot cùng chủ đề
Gửi báo cáo thành công!


