Giải các phương trình:

Quảng cáo
1 câu trả lời 402
4 năm trước
a.
Vậy tập nghiệm của phương trình:
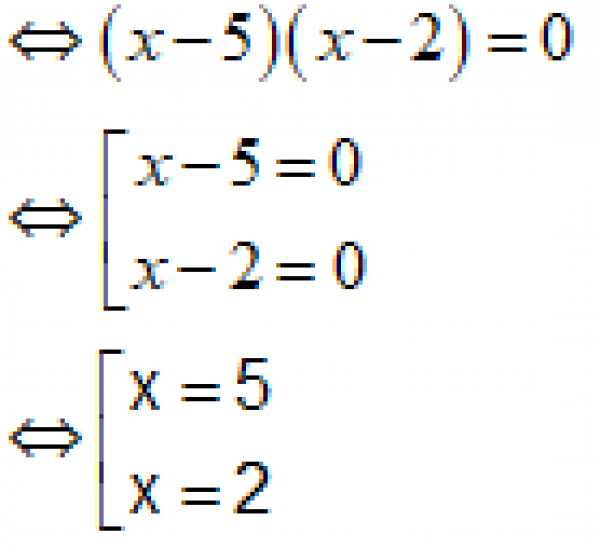
b.

Vậy tập nghiệm của phương trình:
c.
Điều kiện:
Vậy phương trình đã cho vô nghiệm
Quảng cáo
Bạn muốn hỏi bài tập?
Câu hỏi hot cùng chủ đề
-
107151
-
Hỏi từ APP VIETJACK67580
-
44957
-
38162
Gửi báo cáo thành công!
