Trong Oxy cho tam giác ABC có A(5;2), B(-3;1), C(1;-4). Tìm tọa độ I là chân đường phân giác trong của góc BAC.
Quảng cáo
1 câu trả lời 832
4 năm trước
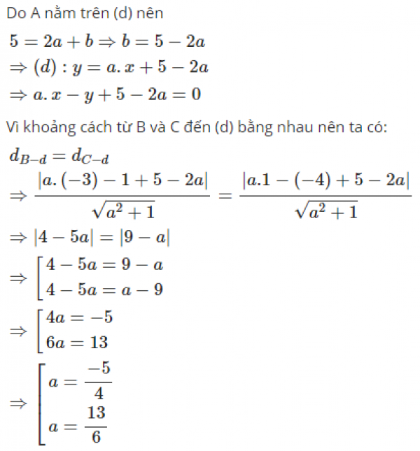
Gọi phương trình đường phân giác trong qua A của tam giác là (d) y=a.x+b.



Quảng cáo
Bạn muốn hỏi bài tập?
Câu hỏi hot cùng chủ đề
-
Đã trả lời bởi chuyên gia
89037 -
Đã trả lời bởi chuyên gia
59731 -
Hỏi từ APP VIETJACK
Đã trả lời bởi chuyên gia
58851 -
Đã trả lời bởi chuyên gia
50834 -
Hỏi từ APP VIETJACK
Đã trả lời bởi chuyên gia
48266 -
Đã trả lời bởi chuyên gia
38581
Gửi báo cáo thành công!
