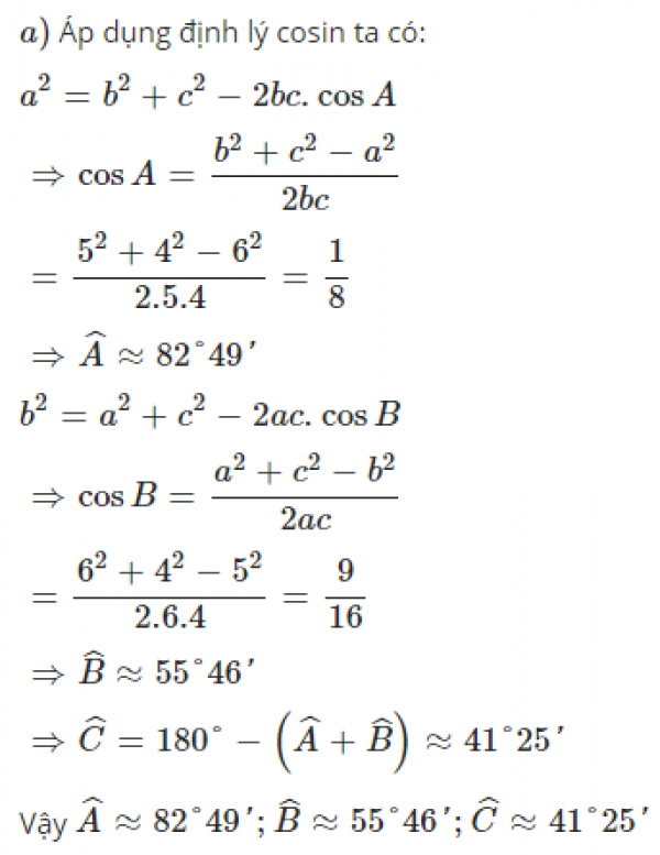
Cho tam giác ABC có AB=4, AC=5, BC=6
a) Tính các góc A, B, C.
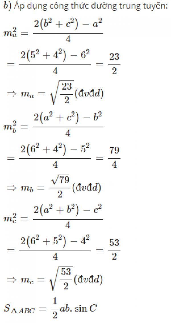
b) Tính độ dài đường trung tuyến và diện tích của tam giác ABC.
Quảng cáo
1 câu trả lời 4320
Quảng cáo
Bạn muốn hỏi bài tập?
Câu hỏi hot cùng chủ đề
Gửi báo cáo thành công!
Cho tam giác ABC có AB=4, AC=5, BC=6
a) Tính các góc A, B, C.
b) Tính độ dài đường trung tuyến và diện tích của tam giác ABC.
Quảng cáo
Quảng cáo
Bạn muốn hỏi bài tập?