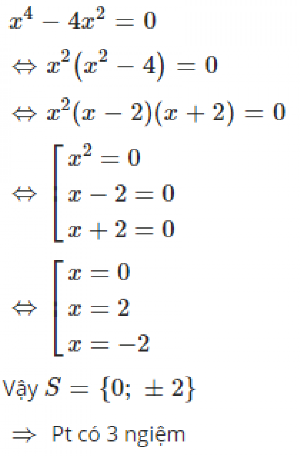
Tìm số nghiệm của phương trình x4-4x2=0
Quảng cáo
Hướng dẫn giải:
Bạn muốn hỏi bài tập?
Tìm m để phương trình sau có hai nghiệm dương phân biệt
(m2+m + 1)x2+(2m-3)x+m-5=0
Cho 0<α<π2.Khẳng định nào sau đây đúng?
A. sin(α – π) ≥ 0.
B.sin(α – π) ≤ 0.
C. sin(α – π) > 0.
D. sin(α – π) < 0.
Cho tam giác ABC, biết độ dài ba cạnh BC, AC, AB lần lượt là a,b,c và thoả mãn hệ thức b(b2-a2)=c(c2-a2) với b ≠ c. Khi đó, góc BAC bằng?
Tam giác ABC có các trung tuyến ma= 15 mb=12 mc= 9 . Diện tích tam giác ABC bằng bao nhiêu.
Các hệ thức lượng trong tam giác và giải tam giác toán 10
Cho α và β là hai góc khác nhau và bù nhau. Trong các đẳng thức sau đây, đẳng thức nào sai?
A. sinα=sinβ.
B. cosα=−cosβ.
C. tanα=−tanβ.
D. cotα=cotβ.
Trên đg tròn bán kính r=15,độ dài của cung có số đo 50 độ là
A. l=750
B. l=15.180/pi
C. l=15pi/180
D. l=15.pi/180.50
Phương trình tham số của đường thẳng đi qua hai điểm A(2;-1) và B(2;5)là
A. x=2y=-1+6t
B. x=2ty=-6t
C. x=2+ty=5+6t
D. x=1y=2+6t