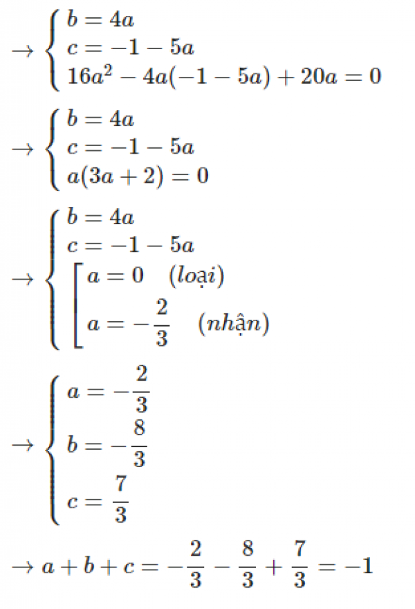
Biết rằng hàm số y = + bx + c (a 0) đạt giá trị lớn nhất bằng 5 tại x=-2 và có đồ thị đi qua điểm M(1;-1). Tính tổng S=a+b+c.
Quảng cáo
1 câu trả lời 8310
Quảng cáo
Bạn muốn hỏi bài tập?
Câu hỏi hot cùng chủ đề
Gửi báo cáo thành công!
Biết rằng hàm số y = + bx + c (a 0) đạt giá trị lớn nhất bằng 5 tại x=-2 và có đồ thị đi qua điểm M(1;-1). Tính tổng S=a+b+c.
Quảng cáo
Quảng cáo
Bạn muốn hỏi bài tập?