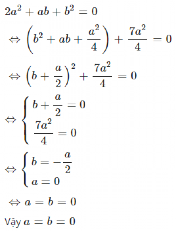
Giải phương trình: 2a²+ ab + b ² = 0
Quảng cáo
1 câu trả lời 2142
Quảng cáo
Bạn cần hỏi gì?
Câu hỏi hot cùng chủ đề
-
Đã trả lời bởi chuyên gia
90154 -
Đã trả lời bởi chuyên gia
60253 -
Hỏi từ APP VIETJACK
Đã trả lời bởi chuyên gia
59576 -
Đã trả lời bởi chuyên gia
51190 -
Hỏi từ APP VIETJACK
Đã trả lời bởi chuyên gia
48699 -
Đã trả lời bởi chuyên gia
38997
Gửi báo cáo thành công!

