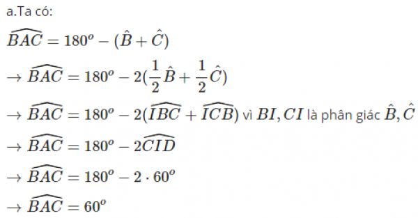
Cho tam giác ABC. Tia phân giác góc B và góc C cắt AC và AB theo thứ tự ở D và E. BD giao CE tại I. Biết .
a, Tính góc A.
b, Chứng Minh: góc BEC và góc BDC bù nhau
Quảng cáo
4 câu trả lời 920
4 năm trước
https://hoidapvietjack.com/storage/upload/images/1611192876-2png.png
4 năm trước
https://hoidapvietjack.com/storage/upload/images/1611192876-2png.png
4 năm trước
https://hoidapvietjack.com/storage/upload/images/1611192876-2png.png
Quảng cáo
Bạn muốn hỏi bài tập?
Câu hỏi hot cùng chủ đề
-
Hỏi từ APP VIETJACK120761
-
81498
-
59515
Gửi báo cáo thành công!



