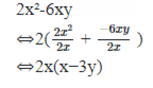
Phân tích đa thức sau thành nhân tử: 2x²-6xy
Quảng cáo
4 câu trả lời 6465
Quảng cáo
Bạn cần hỏi gì?
Câu hỏi hot cùng chủ đề
-
107593
-
Hỏi từ APP VIETJACK
Đã trả lời bởi chuyên gia
68300 -
Đã trả lời bởi chuyên gia
52884 -
Đã trả lời bởi chuyên gia
47390 -
Đã trả lời bởi chuyên gia
45461 -
Đã trả lời bởi chuyên gia
45109 -
Hỏi từ APP VIETJACK
Đã trả lời bởi chuyên gia
38488 -
Đã trả lời bởi chuyên gia
38230
Gửi báo cáo thành công!

X