Song Tử
· 5 năm trước
Mk đang cần gấp lun ạ, mong mn giúp mk
Quảng cáo
3 câu trả lời 7875
5 năm trước

X
Thêu Phạm thị
· 10 tháng trước
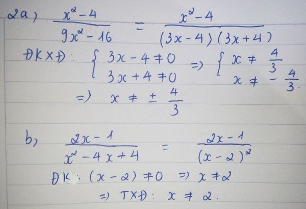
Tìm điều kiện xác định
Thêu Phạm thị
· 10 tháng trước
Tìm điều kiện xác định của phân thức: x²-x/2x
11 tháng trước
- 2x+1/x2 -5x +6 tìm điều kiện xác định của phân thức
Quảng cáo
Bạn muốn hỏi bài tập?
Câu hỏi hot cùng chủ đề
-
107151
-
Hỏi từ APP VIETJACK67580
-
44957
-
38162
Gửi báo cáo thành công!
