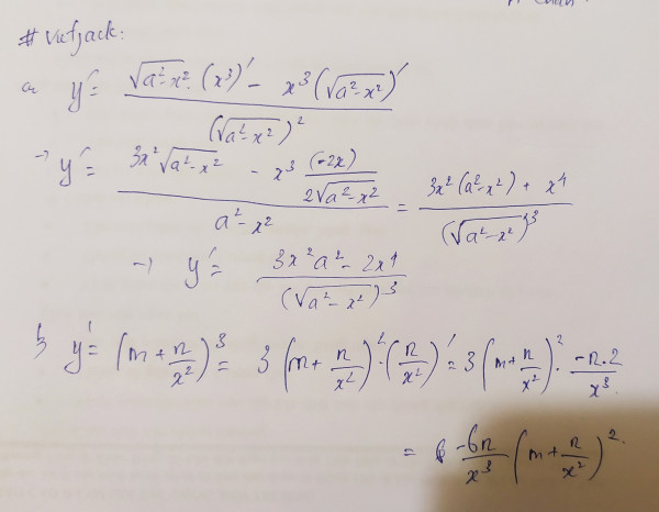
Tính đạo hàm:
a)
b)
Quảng cáo
2 câu trả lời 1150
Quảng cáo
Bạn cần hỏi gì?
Câu hỏi hot cùng chủ đề
-
Đã trả lời bởi chuyên gia
135635 -
Hỏi từ APP VIETJACK
Đã trả lời bởi chuyên gia
76718 -
Đã trả lời bởi chuyên gia
72373 -
Đã trả lời bởi chuyên gia
47882
Gửi báo cáo thành công!


