Quảng cáo
3 câu trả lời 4415
5 năm trước
3(x+4)-- 4x = 0
3(x+4)-(+ 4x)=0
3(x+4)-x(x+4)=0
(3-x)(x+4)=0
Vậy x
5 năm trước
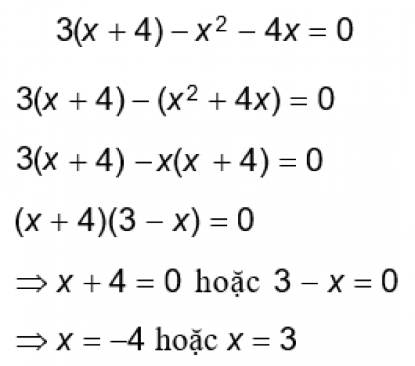
3(x+4)-x2x2- 4x = 0
⇔⇔3(x+4)-(x2x2+ 4x)=0
⇔⇔3(x+4)-x(x+4)=0
⇔⇔(3-x)(x+4)=0⇔{3−x=0x+4=0⇔{x=0+3x=0−4⇔{x=3x=−4⇔3-x=0x+4=0⇔x=0+3x=0-4⇔x=3x=-4
Vậy x {3,−4}
Quảng cáo
Bạn muốn hỏi bài tập?
Câu hỏi hot cùng chủ đề
-
107151
-
Hỏi từ APP VIETJACK67580
-
44957
-
38162
Gửi báo cáo thành công!

